时间限制:1000 ms
内存限制:128 MiB
标准输入输出
题目类型:传统
评测方式:文本比较
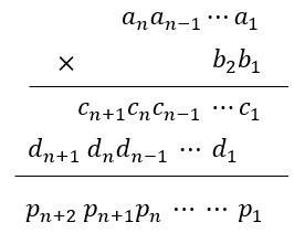
一个 n 位数的正整数 和另一个 2 位数的正整数 相乘,其乘法展开式如下图所示:

其中 是 A 与 b1 相乘的结果,P=p_{n+2}p_{n+1} … p_1$ 是 A 与 B 相乘的结果。
若上图中的每一位数字都在一个给定的非零个位数字集合 S 里,则称 A 和 B 属于同一个乘法小宇宙 S。
本题给定乘法小宇宙 S 和 A 的位数,请你找出同属于这个乘法小宇宙中的所有 A 和 B。
输入在一行中给出两个正整数 n(< 8)和 K(≤ 5),分别是 A 的位数和乘法小宇宙 S 中元素的个数。第二行给出 K 个 (0, 10) 区间内的整数,为 S 中的元素。题目保证没有重复元素。数字间以空格分隔。
按照 A 的非递减序输出所有同属于这个乘法小宇宙中的 A 和 B,每行输出一对,数字间以 1 个空格分隔,行首尾不得有多余空格。对同一个 A,按 B 的递增序输出。若没有解,则输出 No Solution。
样例输入 1
样例输出 1
样例输入 2
样例输出 2